MagicPure? Plant Genomic DNA Kit(含磁力架)
磁珠法植物基因組DNA提取試劑盒(含磁力架)
目錄號: EC102-01
單 價:¥990
產品詳情介紹
本試劑盒采用獨特的裂解液裂解植物樣本釋放DNA,適用于從多種植物組織中高效地提取基因組DNA。提取的DNA適用于分子生物學各種常規實驗,包括酶切、PCR、Southern Blot等實驗。整個過程安全、便捷,提取的基因組DNA完整性好,提取量高,純度高。本試劑盒適用于磁棒式高通量核酸提取儀。

應用范圍廣
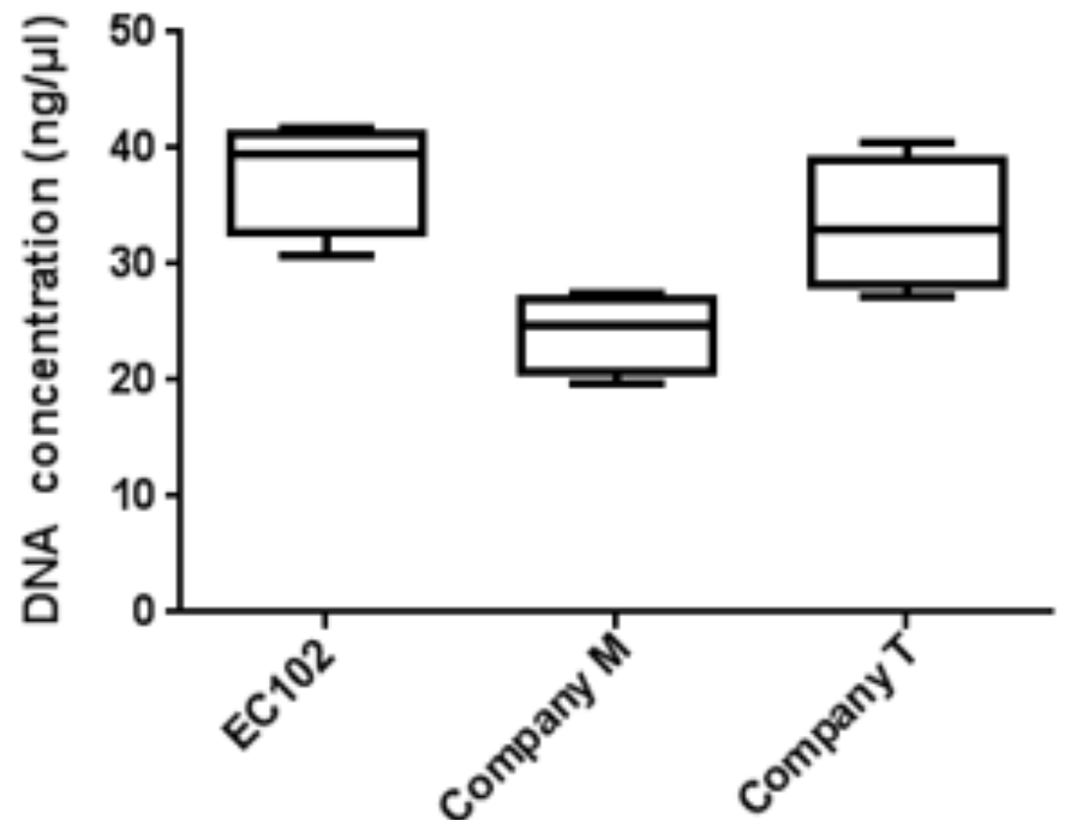
使用TransGen、Company M和Company T產品分別從100 mg不同植物樣本中提取基因組DNA,并以提取的DNA為模板進行PCR擴增檢測。結果表明,TransGen產品適用于多種植物樣本基因組的高效提取,并且提取效果優于競品,可更好得用于下游檢測。
煙草

小麥

大豆

玉米

早熟禾


可適配自動化核酸提取儀
使用TransGen機提(適配32通道自動化核酸提取儀)和手提產品進行100 mg甘蔗、玉米、煙草基因組DNA提取,并以提取的DNA為模板進行PCR擴增檢測。結果表明,TransGen產品可適配自動化核酸提取儀進行DNA高效提取,提取效果與手提法無明顯區別,并且對下游擴增無抑制。
甘蔗

玉米

煙草

產品穩定性高
以100 mg早熟禾葉片為樣品,使用適配32通道核酸提取儀的TransGen產品進行12次重復DNA提取。結果表明,TransGen產品提取的DNA穩定性高,提取精密度<14%,孔間穩定性好,且電泳條帶基本一致。


以100 mg燕麥和玉米葉片為樣品,使用適配96通道核酸提取儀的TransGen產品進行12次重復DNA提取。結果表明,TransGen產品提取的DNA穩定性高,提取精密度<10%,孔間穩定性好,且電泳條帶基本一致。





