PerfectStart? Visual Green qPCR SuperMix
示蹤染料法熒光定量PCR預混液
目錄號: AQ621-01
單 價:¥440
產品詳情介紹
本產品包含PerfectStart? FastTaq 熱啟動酶 (利用3種單克隆抗體與定向基因改造的FastTaq DNA Polymerase高效結合,使用優化的封閉工藝,有效地封閉了DNA聚合酶活性,阻止了低溫下的非特異性擴增)、優化的雙陽離子緩沖液、SYBR Green I 熒光染料、dNTPs、PCR增強劑、PCR穩定劑、示蹤染料。本產品濃度為2×,使用時只需加入模板、引物、Universal Passive Reference Dye(可選)和水,使其工作濃度為1×,即可進行反應。本產品利用黃色和藍色混合變為綠色原理實現對加樣過程的追蹤。 qPCR SuperMix中含有黃色染料,10×Sample Buffer 中含有藍色染料,隨著加樣操作依次進行,在qPCR SuperMix(淺黃色)中加入顏色更為鮮明的Sample Buffer稀釋的模板(亮藍色),會呈現黃色變為綠色的明顯顏色變化,肉眼可視化程度高,更有效地避免加樣錯誤。

示蹤效果圖

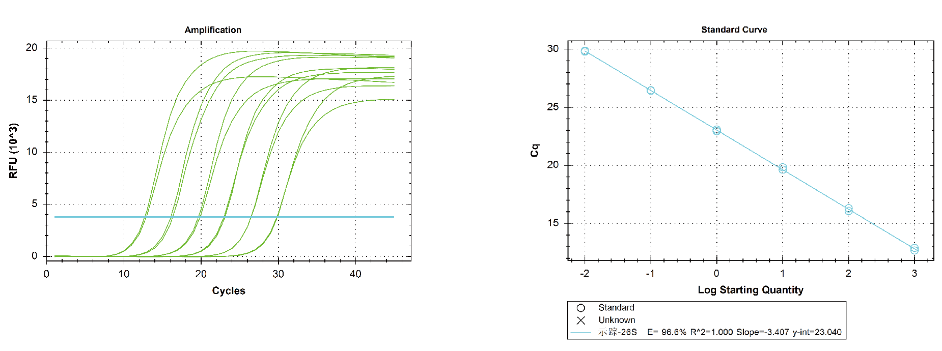
擴增效率高

以梯度稀釋的質粒標準品(1 ng-0.01 pg,10倍稀釋)為模板,使用TransGen產品擴增26S基因得到的擴增曲線和標準曲線。結果顯示,TransGen產品擴增效率高,線性關系好。
(使用儀器:Bio-Rad CFX96)
兼容不同儀器

以小鼠的基因組為模板,在不同儀器上進行擴增得到的擴增曲線。結果顯示, TransGen 產品兼容性高,可適用于不同機型。
與競品比較

分別以人和煙草的基因組為模板,在不同儀器上擴增不同基因得到的擴增曲線。結果顯示,TransGen產品性能更優。


